به گزارش ایسنا، بیمه مرکزی جمهوری اسلامی ایران اخیرا آمار ۹ ماهه نخست صنعت بیمه در سال ۱۴۰۳ را منتشر کرده که بر اساس آن بیش از ۵۹.۷ میلیون فقره بیمه نامه به ارزش ۳۲۴.۸ هزار میلیارد تومان صادر شده که حاکی از رشد ۵۹.۳ درصدی در حق بیمه تولیدی و ۲۱ درصدی در تعداد خسارات پرداختی طی این بازه زمانی دارد.
رشد ۷ درصدی صدور بیمه نامهها
براساس این گزارش، طی ۹ ماهه نخست سال جاری ۵۹.۷ میلیون فقره بیمه نامه صادر شده است که در قیاس با مدت مشابه در سال ۱۴۰۲ به میزان هفت درصد رشد داشته است.
رشد ۵۹ درصدی حق بیمه تولیدی
همچنین، حق بیمه تولیدی یا ارزش این بیمه نامهها در مجموع ۳۲۴.۸ همت (هزار میلیارد تومان) برآورد شده است که نسبت به مدت مشابه در سال گذشته ۵۹.۳ درصد رشد داشته است.
رشد ۵۷ درصدی خسارات پرداختی
تعداد خسارت پرداختی در این مدت ۶۴.۶ میلیون مورد به ارزش ۱۶۷.۶ همت بوده است که ۲۱ درصد رشد در تعداد خسارات و ۵۷.۱ درصد رشد در ارزش خسارت را نسبت به مدت مشابه در سال ۱۴۰۲ نشان میدهد.
کاهش نسبت پرداخت خسارات
همچنین، نسبت خسارات در این مدت ۵۱.۶ درصد است که در قیاس با ۹ ماهه نخست سال گذشته ۰.۷ واحد درصد کاهش داشته است.

گزارش ۹ ماهه عملکرد رشتههای بیمهای
سهم چهار رشته عمده از بازار بیمه چقدر است؟
بر اساس این گزارش، در ۹ ماه ماهه نخست سال جاری بیمه درمان ۳۹.۲ درصد از حق بیمه تولیدی، بیمه شخص ثالث و مازاد ۲۴ درصد، بیمه زندگی (عمر) ۱۴.۲ درصد و بیمه بدنه اتومبیل ۵.۶ درصد از حق بیمه تولیدی بازار بیمه کشور را به خود اختصاص داده و در جایگاه اول تا چهارم رشته بیمههای برتر در حق بیمه تولیدی قرار گرفتهاند.
همچنین، بیمه درمان ۴۲.۶ درصد، بیمه شخص ثالث و مازاد ۲۷.۶ درصد، بیمه عمر و زندگی ۱۱.۱ درصد و بیمه بدنه اتومبیل ۸.۶ درصد از خسارات پرداختی بازار بیمه را طی ۹ ماهه ابتدایی سال جاری به خود اختصاص دادهاند.
بر اساس این گزارش، سهم بخش غیردولتی از حق بیمه تولیدی و خسارت پرداختی صنعت بیمه، به ترتیب ۷۹.۳ و ۷۶.۱ درصد است. البته سهم شرکتها (بخش دولتی و غیردولتی) و رشتههای بیمه در دورههای زمانی کمتر از یک سال معمولاً با تغییرات زیادی همراه است.
سهم شرکتهای بیمهای از حق بیمه تولیدی
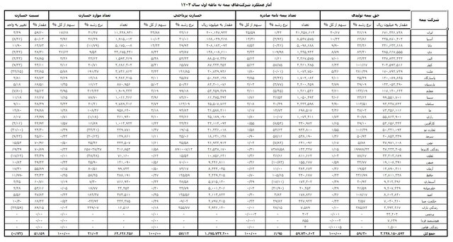
مطابق دادههای بیمه مرکزی، ۱۱ شرکت بیمه ایران با ۲۰.۷ درصد، بیمه آسیا با ۱۰.۳ درصد، بیمه دانا با ۹.۹ درصد، بیمه دی با ۸.۸ درصد، بیمه البرز با هفت درصد، بیمه کوثر با ۶.۲ درصد، بیمه ملت با ۵.۳ درصد، بیمه پاسارگاد با چهار درصد، بیمه پارسیان با ۳.۸ درصد، بیمه معلم با ۳.۶ درصد و بیمه سینا با ۳.۱ درصد، در مجموع ۸۲.۷ درصد از حق بیمه تولیدی بازار را به خود اختصاص داده و ۱۷.۳ درصد مابقی حق بیمه، توسط ۲۰ شرکت دیگر بیمهای، تولید شده است.

گزارش ۹ ماهه عملکرد شرکتهای بیمهای
انتهای پیام












